In questo articolo vediamo quali sono le verifiche sismiche svolte per le strutture in calcestruzzo all’interno di NextFEM Designer
Le verifiche sismiche vengono svolte quando il set “NTCsismica_CA” è selezionato. Questo set di verifiche contiene tutte le verifiche statiche e aggiunge le ulteriori prescrizioni per le strutture in zona sismica.
L’utente deve indicare:
- La classe di duttilità: A=1, B=2, classe B senza verifiche dei nodi=3
- Per le verifiche di duttilità: il fattore di comportamento q0, il periodo Tc dello spettro di progetto; il periodo fondamentale da considerare nella verifica T1.

Per le
travi:
Per le
colonne:
Per i setti:
![]()
La verifica in duttilità viene svolta per le sezioni di travi e pilastri all’interno della zona critica. La domanda di duttilità allo SLC viene valutata come:

Con i simboli specificati a inizio paragrafo. Tale verifica, da attuarsi quando non sia prevista o possibile l’applicazione dei dettagli costruttivi di norma e si usi q>1.5 (struttura dissipativa, §7.4.4.1.2), è regolata dall’applicazione della relazione riportata al § 4.1.2.3.4.2.

in cui
e
sono rispettivamente momento e curvatura
convenzionale secondo NTC2018.
All’interno
delle zone critiche, si impone
.
Il taglio sollecitante viene sovrascritto se si applica la gerarchia delle
resistenze.
con crc = 0.55
per la classe di duttilità “A”, 0.65 altrimenti
Per
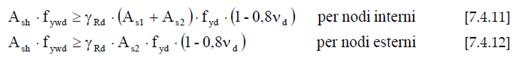
strutture nuove, la verifica è svolta secondo §7.4.4.3.1 delle NTC2018:


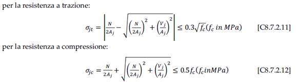
Per le strutture esistenti, se viene specificato un fattore di confidenza maggiore di 1 (FC>1), vengono eseguite le verifiche in termini di tensione:

La gerarchia delle resistenze per i pilastri viene applicata come descritto del seguito.

Per la
verifica a presso-flessione:![]()
Per la
verifica a taglio: ![]()
Per le travi, il taglio di progetto viene calcolato con il seguente schema:

Per le pareti, viene effettuata la traslazione dei momenti Mz della lunghezza hcr (altezza della zona dissipativa) e l’amplificazione del taglio pari a q0.
Armatura longitudinale (AreaAcciaio)

Inoltre,
e, nelle zone
dissipative (estremi trave),
.
Diametro longitudinale (DiamLong)
, con

Diametro staffe (DiamStaffe)
Passo staffe (PassoStaffe)
a seconda della
classe di duttilità “A” o “B”
Armatura longitudinale (AreaAcciaio)
![]()
Distanza barre longitudinali (DistanzaLong)
Diametro staffe (DiamStaffe)
a seconda della classe di duttilità “A” o “B”
Passo staffe (PassoStaffe)
a seconda della classe di duttilità “A” o “B”
Particolari costruttivi – setti
Armatura longitudinale (AreaAcciaio)
Diametro longitudinale (DiamLong)
![]()
Distanza barre longitudinali (DistanzaLong)
Verifica a taglio nel piano per scorrimento delle pareti (Scorrimento)
La resistenza è il minimo fra:

