In questo articolo vedremo come modellare le strutture in XLam (o CLT – Cross Laminated Timber) all’interno di NextFEM Designer, con l’obiettivo di fornire le conoscenze necessarie per l’ingegnere calcolatore di queste strutture
Le strutture in pannelli in lamellare incrociato (o X-Lam, o CLT) sono sempre più diffuse grazie alla loro praticità e velocità di esecuzione in cantiere, oltre ad assicurare una buona performance anche in zone sismiche.
Negli assemblaggi di pareti in Xlam, la dissipazione energetica è affidata unicamente alle connessioni metalliche, che in genere esibiscono una duttilità sufficiente per poter operare con fattori di comportamento > 1.5. Le principali connessioni utilizzate sono:
- hold-down e tie-down, posizionati agli angoli delle pareti, per controllare il sollevamento (rocking) del pannello;
- angolari (o angle-bracket), posizionati generalmente in mezzeria del lato inferiore/superiore della parete, per contrastare lo scorrimento (taglio) alla base e in sommità;
- viti, utilizzate per connettere le pareti verticali lungo i loro bordi in comune, o per collegare i pannelli orizzontali di solaio.
Indipendentemente dal fattore di comportamento scelto, che varia anche in funzione del rapporto di forma h/b delle singole pareti, i pannelli lignei rimangono quindi in campo elastico, permettendo una modellazione semplificata anche per analisi avanzate.
La modellazione per un progetto ai consueti stati limite (es. SLU ed SLE) consiste quindi nella modellazione con elementi piani (shell) delle pareti, e delle connessioni mediante molle elastiche. Verificheremo quindi in campo elastico le pareti, e in termini di capacità limite le connessioni.
NextFEM Designer fornisce, già nella versione di base gratuita, strumenti di controllo della mesh e di modellazione adatti a questo tipo di strutture. Vedremo nel seguito come operare per produrre un modello di struttura in Xlam in pochi semplici passi.
Materiale legno
Dalla maschera Modifica / Materiali, se si seleziona la libreria “Legno EN”, compare il comando “Aggiungi mat. X-Lam da selezione”, che permette la creazione di un materiale isotropo ed elastico con caratteristiche meccaniche equivalenti all’insieme di tavole con fibre orientate a 0° e 90° che lo compongono.

La creazione di questo materiale permette di evitare l’utilizzo di una sezione trasversale a strati (layered) più complessa da modellare e da gestire.
Indicando il numero di strati, lo spessore del singolo strato e il rapporto di Poisson da utilizzare, il programma produce un nuovo materiale, chiamato CLTiso_5x20_C24, che sfrutta l’equivalenza di Blass-Fellmoser per la sua definizione.

La teoria originale prevede diverse formulazioni a seconda dello schema statico della parete (pannello di solaio, parete verticale, ecc.). NextFEM Designer utilizza una formulazione semplificata per pannelli costituiti da strati di identico spessore, adattabile a tutte le situazioni di progetto.
Vediamo un esempio di calcolo del modulo elastico equivalente:

Allo stesso identico modo, il modulo di taglio G equivalente viene ricavato con le medesime relazioni:

Quindi, nel nostro modello i pannelli costituiti da 5 strati di 20mm ciascuno di legno C24 (E0=11 GPa ed E90=370 MPa) avranno un modulo elastico equivalente pari a E=5685 MPa.
Mesh dei pannelli X-Lam
I pannelli Xlam possono essere modellati facilmente tramite il comando Modifica / Strumenti mesh / Aggiungi parete.

È sufficiente eseguire le seguenti operazioni:
1. selezionare un nodo d’origine per la parete o immettere le sue coordinate manualmente;
2. scegliere Lunghezza e Larghezza, nell’esempio entrambe di 3m, e il piano di giacitura (XZ o YZ per le pareti verticali, XY per quelle orizzontali);
3. scegliere una dimensione opportuna della mesh nelle due direzioni Dir1 e Dir2. Questa operazione assume particolare importanza per il calcolo della rigidezza delle molle rappresentanti le viti;
4. aggiungere eventuali finestrature e premere “Aggiungi parete” per vederla disegnata nel viewport.
Con questa procedura, modelliamo ad esempio un insieme di pareti come nella figura sottostante. Si noti come i nodi d’angolo delle pareti siano raddoppiati: questo permetterà l’installazione delle molle.

Modellazione delle connessioni metalliche
La modellazione del comportamento meccanico delle connessioni
metalliche è in genere valida solo in campo non lineare: si pensi ad esempio
all’hold-down, che reagisce in trazione con una rigidezza funzione della
chiodatura del pannello, mentre a compressione con la rigidezza di contatto fra
pannello e pannello o fra pannello e fondazione. Quest’ultima è un valore molto
più elevato di quella a trazione, pertanto è necessario trovare un unico valore,
valido per le analisi lineari. Ci viene in aiuto l’Eurocodice 5, che stima la
rigidezza elastica Kser al §7.1 per un chiodo sollecitato a taglio. Indagini
sperimentali hanno evidenziato come stimare la rigidezza moltiplicando Kser per
il numero di chiodi fornisca un valore superiore a quello sperimentale (cioè
ottenuto da prove di laboratorio) della connessione: questo accade perché nella
realtà ci sono più elementi in serie che contribuiscono a resistenza e
rigidezza (plasticizzazione del connettore, stabilità delle piastre metalliche,
ecc.). Si adotta, anche se la norma non lo specifica, un numero di chiodi
elevato alla 0.9 per diminuire la rigidezza complessiva (la norma richiede
invece di adottare una rigidezza pari a 2/3 Kser per analisi allo SLU).
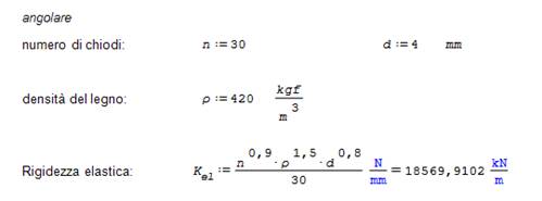
La rigidezza a taglio per un angolare metallico con 30 chiodi d=4mm viene
calcolata come:

Allo stesso modo, la rigidezza assiale di un hold-down con 14 chiodi d=4mm può essere stimata utilizzando il numero efficace di chiodi (qui esemplificato come n elevato alla 0.9). Appare un buon compromesso calcolare la rigidezza di questi connettori come il doppio della rigidezza fornita dalle formule presentate nel seguito, per considerare forfettariamente la compressione in campo lineare.
ATTENZIONE: l’approccio descritto potrebbe modificare artificiosamente la gerarchia delle resistenze, poiché il coefficiente 2 scelto potrebbe favorire eccessivamente il rocking della parete a scapito dello scorrimento. Si lasciano al progettista le opportune considerazioni. Per un calcolo più accurato, utilizzare un modello non lineare.

Ottenuti questi valori, possiamo impostare le molle rappresentative delle connessioni.
NextFEM Designer permette la creazione di molle a lunghezza zero (per nodi coincidenti) che rappresentino la rigidezza fornita da hold-down, angolari e viti, e sulle quali infine eseguire la verifica resistente. Queste molle sono necessariamente definite negli assi globali del modello, poiché hanno lunghezza nulla.
Dalla maschera Assegna / Proprietà molle creiamo:
- una molla denominata “hd” per le proprietà dell’hold-down, con rigidezza elastica Kz pari a 19000kN/m;
- una molla a taglio denominata “ang” con le rigidezze a taglio Kx=Ky=18600kN/m;
- una molla per le viti con la rigidezza di un numero di viti pari all’interasse della mesh (es. 20cm => 1 vite = 900kN/m), nelle 3 direzioni spaziali.
Basterà ora selezionare con il rettangolo di selezione i (doppi) nodi interessati dalle molle e selezionare il comando Aggiungi molle nodali / Assegna molle ai nodi coincidenti selezionati.

In questo modo si crea l’assemblaggio di figura seguente, in cui viene esemplificata la creazione di una struttura in X-Lam scatolare, connessa a terra mediante angolari e hold-down, e con viti fra le pareti e il solaio.

Se, come in questo caso, il modello non comprende le fondazioni e viene vincolato al suolo, un altro comando dedicato (Aggiungi molle nodali / Assegna come molla nodale a nodi selezionati) permetterà l’inserimento di angolari e h-d alla base, mediante raddoppio del nodo, vincolo di incastro del nodo aggiunto e inserimento della molla.
Conclusioni prima parte
Pur tenendo in conto le semplificazioni che la modellazione in campo lineare impone, il modello “per componenti” sviluppato permette anche il controllo della gerarchia delle resistente poiché, a differenza dei modelli a macroelementi, la risposta di angolari e hold-down è controllabile separatamente.
Inoltre, l’approccio descritto si adatta molto bene all’analisi di strutture miste (es. sopraelevazioni in X-Lam di edifici esistenti), permettendo anche il dimensionamento puntuale degli ancoraggi alla struttura pre-esistente, che non sarebbe stato possibile con scarichi delle pareti distribuiti sulla loro lunghezza.
Scarica le risorse gratuite! I file sono visionabili con SMath Studio:
Calcolo della rigidezza dei pannelli X-Lam alla Blass-Fellmoser
Calcolo della rigidezza delle connessioni metalliche per X-Lam
NextFEM Designer supporta inoltre l’interfacciamento nativo con SMath Studio mediante il plugin NextFEM4SMath.