NextFEM Designer consente la
modellazione e analisi di sezioni composte in acciaio-calcestruzzo, come travi con
soletta e colonne in calcestruzzo con camicia esterna in acciaio. Nel seguito
verrà esposto un esempio applicativo riguardante un portale a struttura mista.
Dalla versione 1.4 è possibile modellare sezioni composte acciaio-calcestruzzo, che sono supportate in modo nativo dal programma, permettendo di modellare correttamente la loro rigidezza nel calcolo.
Vediamo ad esempio un portale in struttura composta, che è costituito da colonne a sezione circolare, costituite da un tubolare in acciaio di diametro 300mm e spessore 20mm, riempito in c.a., e da una trave composta da una IPE 240 accoppiata ad una soletta in c.a. di spessore 20cm e larghezza 1m. La larghezza della soletta da inserire deve essere quella efficace, stimata secondo i metodi di norma. I materiali utilizzati, inseribili con il comando Modifica / Materiali, sono acciaio S275 e calcestruzzo C25/30.
La creazione delle sezioni composte segue l’iter standard, salvo alcune specifiche aggiuntive.
Per i pilastri circolari si parte dalla definizione di una sezione tubolare di dimensioni assegnate (D=0.30m, t=0.02m) utilizzando il comando Modifica / Sezioni. In seguito, facendo doppio click sulla sezione appena creata, o alternativamente cliccando sul pulsante Modifica proprietà, si apre la finestra di dialogo che consente di scegliere il tipo di figura. Nel caso in esame si andrà a spuntare la voce Personalizzata nella scheda Tipo, definendo le caratteristiche del pilastro interno in c.a. nella successiva maschera Aggiungi. L’inserimento di una nuova sezione avviene rispetto al baricentro della prima sezione inserita, visualizzato graficamente dal punto verde nel grafico della finestra Sezioni.

Si definisce il diametro D, pari a 0.26m, e si seleziona come tipo di figura Piena, andando così a riempire la cavità precedente, come si evince dalla figura seguente.

Selezionando le righe nella tabella di destra si evidenzia il perimetro esterno della geometria corrispondente nello schema grafico, consentendo all’utente un maggiore controllo sulle operazioni.
Il materiale deve essere assegnato dalla schermata Per punti, nella quale sono definite le coordinate dei punti costituenti le sezioni definite in precedenza. È possibile assegnare un materiale per ciascuna sezione selezionandola dalla tabella e specificandolo dal menu a tendina sottostante. Premendo il tasto Salva serie le modifiche saranno salvate.
La sezione tubolare viene definita da un pieno (ID=1, sezioni Piene) e da un vuoto (ID=1, sezioni Vuote), di conseguenza il materiale acciaio deve essere assegnato anche alla geometria vuota.

Si ottengono due sezioni, la numero 1 corrispondente al tubolare in acciaio, la numero 2 al pilastro pieno in calcestruzzo armato.
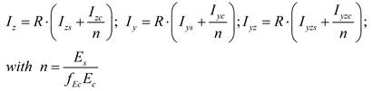
All’interno della scheda Dati vengono automaticamente calcolate le caratteristiche geometriche della sezione composta, tenendo in considerazione i contributi dei diversi materiali. In accordo all’Eurocodice 4, i momenti d’inerzia vengono normalizzati rispetto all’acciaio:

R rappresenta il coefficiente
di riduzione, mentre
è il fattore riduttivo del modulo elastico del
calcestruzzo.
Le restanti proprietà sono calcolate dividendo il contributo del calcestruzzo per il coefficiente di omogeneizzazione n. Le proprietà specifiche dell’elemento considerato devono essere selezionate dal menu a tendina Aggiungi proprietà, scegliendo Colonna composta e cliccando il pulsante laterale per la loro immissione nei dati.
Allo stesso modo si procede per la sezione costituita da trave in acciaio e soletta in c.a.
In questo caso viene prima scelto il tipo IPE 240 dal database precaricato nel programma utilizzando il menu a tendina Sezione trave nella maschera Sezioni. Si procede aggiungendo la soletta, ovvero una nuova sezione rettangolare piena dalla maschera Aggiungi, di base Lz=1m ed altezza Ly=0.2m. L’inserimento deve tenere conto delle dimensioni della trave in acciaio, di conseguenza le coordinate del Punto di inserimento (rappresentato dallo spigolo inferiore sinistro) sono calcolate in Z=-0.44m e Y=0.24m rispetto al baricentro di quest’ultima (per posizionare la soletta in mezzeria al di sopra della trave).

Come visto in
precedenza, si assegnano i materiali dalla scheda Per punti selezionando
le righe corrispondenti alle sezioni appena create dalla tabella di destra,
mentre in questo caso si devono aggiungere le caratteristiche di Trave composta da Aggiungi proprietà della scheda Dati.
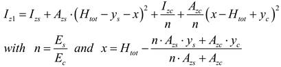
Il momento d’inerzia per flessione negativa è dato dal contributo del solo
acciaio, considerando la sezione in c.a. fessurata, mentre il momento d’inerzia
per flessione positiva è dato da:

La rigidezza
flessionale complessiva è pari alla somma pesata delle rigidezze a momento
positivo e negativo, come prescritto ad esempio per l’analisi sismica
dall’Eurocodice 4. La rigidezza flessionale a momento positivo è calcolata
elasticamente asssumendo una connessione rigida fra acciaio e calcestruzzo. La
rigidezza flessionale a momento negativo è invece valutata sulla base del solo
acciaio, considerando fessurata la soletta.
![]()
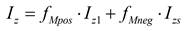
I pesi valgono
di default
e
.

Il portale ha una luce di 5m ed altezza 3m. Nella modellazione degli elementi colonna e trave si assegna come materiale l’acciaio S275, in modo tale che le proprietà di calcolo vengano correttamente normalizzate all’acciaio, come visto in precedenza. Un messaggio di errore appare qualora si utilizzi il calcestruzzo (o altro materiale) come materiale di base.

Vengono applicati i vincoli rigidi alla base ed assegnato un carico distribuito sulla trave pari a -5kN/m, oltre al peso proprio degli elementi. Applicando la colorazione casuale per materiale è possibile apprezzare l’effettiva sezione composta in ciascun elemento.

I risultati dell’analisi tengono conto delle caratteristiche meccaniche dei diversi materiali costituenti le sezioni resistenti, pur restando i diagrammi delle sollecitazioni univoci per ciascun elemento.

Ipotizzando per la colonna un’armatura costituita da 4Ø16
longitudinali in acciaio FeB44k, con copriferro pari a 4cm, si effettua
un’analisi di resistenza della sezione circolare composta accedendo alla
maschera Calcola resistenza della sezione da Modifica / Sezioni e
premendo il pulsante Calcolo resistenza dopo aver selezionato la sezione
desiderata.
Per le sezioni composte, come per quelle definite dall’utente, l’inserimento
dei ferri d’armatura deve essere effettuato per coordinate, specificando
materiale e diametro nelle apposite caselle di selezione.
Per inserire le sollecitazioni ottenute dal calcolo si utilizza la maschera Elementi trave in basso a destra. Si seleziona l’elemento strutturale dal menu a tendina (per vedere il numero dell’elemento a schermo premere F8 oppure selezionare Numero degli elementi dalla maschera Visualizza / Controlli vista), si sceglie la sezione dell’elemento desiderata con il cursore orizzontale e si specifica il caso di carico e l’istante temporale (per le analisi lineari è sempre 1). Premendo il pulsante Sollecitazioni vengono importate le forze per la sezione scelta per eseguire le verifiche.
Nel caso in esame, le sollecitazioni della colonna n. 2 nella sezione di base per il caso di carico G sono pari a N=69.15kN e Mz=8.29kNm. In questa maschera lo sforzo assiale N segue una convenzione opposta tipica del calcolo sezionale: valori positivi indicano compressione mentre valori negativi trazione. È necessario impostare come Materiale base l’acciaio (in Definisci proprietà del materiale in alto a sinistra nella maschera) per il calcolo resistente della sezione. Dopo aver selezionato il calcolo plastico, si procede alla verifica e si ottiene la posizione dell’asse neutro e la percentuale di utilizzo della sezione composta.

La stessa procedura può essere utilizzata per il calcolo resistente della sezione di trave. Il calcolo plastico viene eseguito nell’ipotesi di connessione a completo ripristino fra trave metallica e soletta in c.a.; in altri termini non sono ammessi scorrimenti.

Come mostra l’immagine precedente, viene calcolato l’intero dominio My-Mz per l’azione N impostata.
Con NextFEM Designer è quindi possibile affrontare il calcolo delle strutture composte.